全球变暖导致冰川加速消融,显著增加了向下游生态系统输送硝酸盐(NO3-)的通量,引起了对冰川补给区氮循环过程的广泛关注。冰前湖与冰川紧密相连,冰川源NO3-对调控湖水NO3-浓度起着关键作用。然而,冰川径流输入与湖泊内部生物地球化学过程对湖水中NO3-的相对贡献仍不明确。兰州大学泛第三极环境中心联合中国科学院青藏高原研究所等单位,系统采集了青藏高原南部枪勇冰川流域的降雨、冰川径流以及湖水样品。基于NO3-氮氧同位素组成(δ15N-NO3-、δ18O-NO3-和Δ17O-NO3-)结合气象和水化学特征,揭示了不同来源NO3-对冰前湖中NO3-的贡献以及冰前湖中NO3-浓度变化的控制机制。
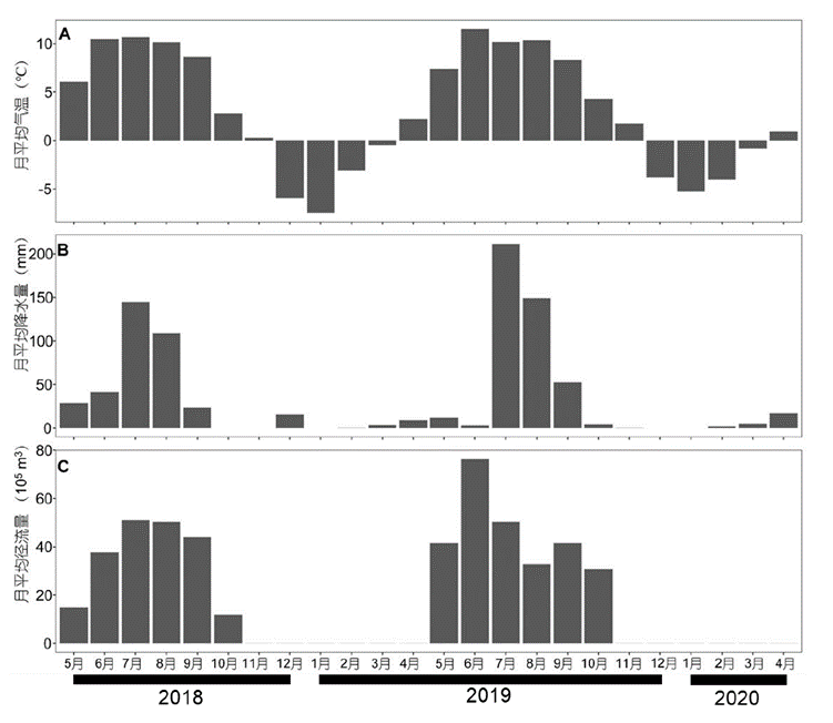
研究发现,采样期间,枪勇冰川流域的月平均气温、降水量和冰川径流量均呈现出相似的季节性变化模式(图1)。其中,6-8月的月平均气温约为10℃,而11月至次年4月气温持续低于0℃。降水主要集中在5-10月,其中7月降水量最高可达200 mm。冰川径流为季节性融水,仅出现在每年5-10月。径流量从5-6月逐渐增加,7-9月维持较高水平,10月开始下降,至11月完全断流。根据径流的季节性特征,本研究将全年划分为两个时期:5-10月的“消融期”和11月至次年4月的“非消融期”。
图2展示了枪勇湖水在21个月期间浓度及同位素组成的月变化特征。NO3-浓度、δ18O-NO3-和Δ17O-NO3-值在每年6-7月达到峰值,两年平均值分别为0.7±0.1 mg L−1、18.5‰±1.3‰和8.4‰±0.4‰。与此同时,δ15N-NO3-值则在此期间降至最低,平均值为-1.2‰ ±0.7‰。每年的7–10月,δ18O-NO3-和Δ17O-NO3-值呈持续下降趋势,而δ15N-NO3-值逐渐升高。在此期间NO3-浓度虽有波动,但总体呈下降趋势。在2018年11月至2019年4月以及2019年11月至2020年4月期间,Δ17O-NO3-值保持相对稳定,而δ15N-NO3-和δ18O-NO3-值持续上升,同时NO3-浓度逐步下降。此外,相关性分析表明,消融期湖水中的δ15N-NO3-和δ18O-NO3-呈负相关关系,而非消融期两者则表现出同步升高的趋势。δ18O-NO3-和Δ17O-NO3-在消融期呈现显著正相关关系,但在非消融期该关系不显著(图3)。
基于MixSIAR模型的源解析结果表明(图4),在消融期,冰川径流是湖水中的主要来源,贡献了83%±5%;其次为湖内微生物硝化作用,贡献占比为15%±4%;大气沉降的贡献最小,仅为2%±2%。
本研究揭示了青藏高原枪勇冰前湖中氮循环关键过程的季节动态特征,并评估了冰川径流对湖水中NO3-动态变化的影响,凸显了冰前湖作为氮素转化活跃区域的重要性。未来的研究应结合NO3-浓度、湖泊水文参数等实测数据,计算实际通量,以进一步验证MixSIAR模型的解析结果。
该成果以“Seasonal variations of nitrate concentrations and isotopic compositions in a Tibetan Plateau proglacial lake”为题,发表于期刊《Science China Earth Sciences》。中国科学院青藏高原研究所王凤博士为论文第一作者,刘勇勤教授为通讯作者。

图1 2018年5月至2020年4月枪勇流域月平均气温(A)、降水量(B)及径流量(C)。

图2 2018年5月至2020年4月枪勇湖水中NO3-浓度(A)及同位素组成(B-D)的月变化特征。蓝色和橙色分别代表消融期和非消融期。

图3湖水中消融期和非消融期的同位素交叉图(δ15N vs. δ18O(A); Δ17O vs. δ18O(B))。三角形代表大气沉降来源NO3-(Δ17O-NO3-=21.5‰,δ18O-NO3-=61.5‰)。正方形代表湖水中硝化作用可能产生的δ18O-NO3-的最小值(Δ17O-NO3-=0‰,δ18O-NO3-=-24.06‰)。

图4概念模型展示了消融期湖水中3个NO3-来源的相对贡献比例